Analog to digital (A/D) and Digital to Analog (d/A) conversion example#
import numpy as np
import matplotlib.pyplot as plt
%matplotlib inline
def reconstruct_with_sinc(ts,fd,t):
n, = ts.shape
dt = ts[1] - ts[0]
fr = []
for k,ti in enumerate(t):
# for each time point
sumf = 0.0
for i in range(n):
# for each point in a sampled set
sumf += fd[i]*np.sin(np.pi*(ti/dt-i))/(ti/dt-i)
fr.append((1./np.pi)*sumf)
return np.asarray(fr)
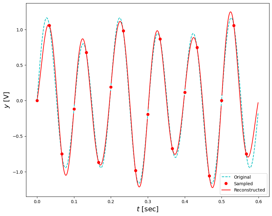
t = np.arange(0.0,0.6,0.001)
fa = 1.0*np.sin(2*np.pi*10*t)+0.2*np.sin(2*np.pi*6*t)
fs = 30 # Hz
ts = np.arange(0.0,0.6,1./fs) # sampling time
fd = 1.0*np.sin(2*np.pi*10*ts)+0.2*np.sin(2*np.pi*6*ts) # sampled data
plt.figure(figsize=(10,8))
plt.plot(ts,fd,':ro',markersize=10)
plt.plot(t,fa,'c--',linewidth=0.2)
plt.xlabel('$t$ [sec]',fontsize=16)
plt.ylabel('$y$ [V]',fontsize=16)
plt.legend(('Original','Sampled'))
<matplotlib.legend.Legend at 0x713f86b931d0>

fr = reconstruct_with_sinc(ts,fd,t)
/tmp/ipykernel_482997/1079865406.py:14: RuntimeWarning: invalid value encountered in scalar divide
sumf += fd[i]*np.sin(np.pi*(ti/dt-i))/(ti/dt-i)
plt.figure(figsize=(10,8))
plt.plot(t,fa,'c--',ts,fd,'ro',t,fr,'r-')
plt.xlabel('$t$ [sec]',fontsize=16)
plt.ylabel('$y$ [V]',fontsize=16)
plt.legend(('Original','Sampled','Reconstructed'))
<matplotlib.legend.Legend at 0x713f86632990>
