Outliers example 2#
example of outlier test for the pairs of values, \(y=f(x)\)#
%pylab inline
import matplotlib as mpl
mpl.rcParams['lines.linewidth']=2
mpl.rcParams['lines.color']='r'
mpl.rcParams['figure.figsize']=(12,8)
mpl.rcParams['font.size']=14
mpl.rcParams['axes.labelsize']=20
%pylab is deprecated, use %matplotlib inline and import the required libraries.
Populating the interactive namespace from numpy and matplotlib
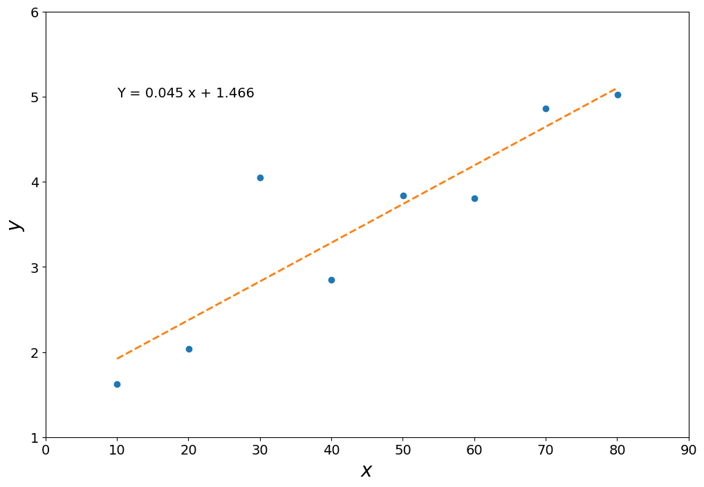
x = array([10.0,20.03,30.01,40.02,50.02,60.01,70.00,80.01])
y = array([1.62,2.04,4.05,2.85,3.84,3.81,4.86,5.02])
plot(x,y,'o')
xlim([0,90])
ylim([1,6])
xlabel('$x$'),ylabel('$y$')
# best fit seems to be linear
p = polyfit(x,y,1)
Y = polyval(p,x)
plot(x,Y,'--')
text(10,5,'Y = %4.3f x + %4.3f' % (p[0],p[1]))
Text(10, 5, 'Y = 0.045 x + 1.466')

Test 1/2: Use standard error of the estimate:#
\[ S_{y,x}=\sqrt{\frac{\sum_{i=1}^{i=n}(y_{i}-Y_{i})^{2}}{\nu}},\,\,\,\nu=n-(m+1)\]
and the standardized residuals
\[ \frac{e_i}{S_{y,x}} = \frac{|Y_i-y_i|}{S_{y,x}}\]
From compare it with the value of 2 (very close to the t-distribution for 95%), i.e. if:
\[\left|e_{i}/S_{y,x}\right|>2\]
then it’s an outlier
n = len(x)
m = 1 # number of independent variables
nu = n - (m+1)
Syx = sqrt(sum((Y - y)**2)/nu)
print (Syx)
0.590226736226183
e = (Y-y)
plot(arange(1,n+1),e/Syx,'go')
plot([0,n+1],[-2,-2],'b-',[0,n+1],[2,2],'r-')
plot([3],e[2]/Syx,'rx',mfc='none',markersize=30)
xlim([0,n+1]),ylim([-3,3])
xlabel('$n$'),ylabel('$e/S_{yx}$')
(Text(0.5, 0, '$n$'), Text(0, 0.5, '$e/S_{yx}$'))
